学院邮箱(书记院长):cwrh_ao@scu.edu.cn
纪委邮箱(师德师风):slsdjw@scu.edu.cn
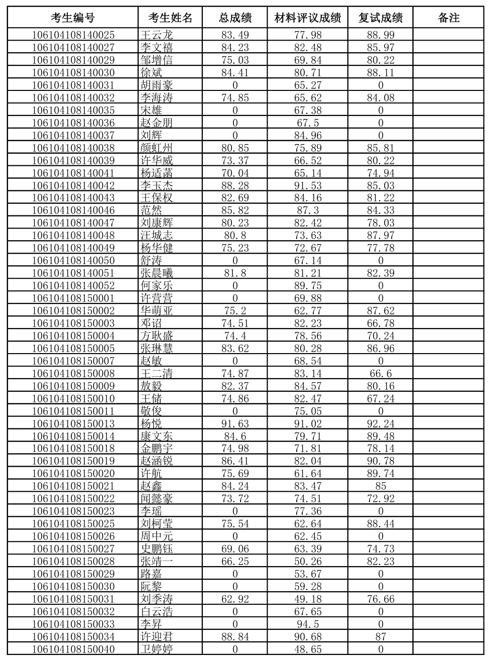
通知公告
当前您的位置: 学院首页 - 通知公告 - 正文
2024-04-26
上一条:四川大学英国上市公司365/山区河流保护与治理全国重点实验室2024年博士研究生招生拟录取名单公示
下一条:关于评选2024年度贾金生博士科技创新奖的通知