******365英国上市(集团)有限公司-Official website

通知公告

通知公告

当前您的位置: 学院首页 - 通知公告 - 正文

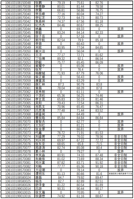
四川大学英国上市公司365/水力学与山区河流开发保护国家重点实验室2023年 博士研究生招生复试成绩公示

2023-04-27

image.png

image.png